Xi'an Kintai Biotech Inc is one of the most experienced manufacturers and suppliers of almond extract powder in China. Please feel free to wholesale high quality almond extract powder for sale here from our factory. For price consultation, contact us.
1.What is Almond Extract?
Almond extract powder mainly comes from the light yellow powder product extracted from the dried and mature seeds of Rosaceae plant apricot, Siberian apricot, northeast apricot or apricot, and contains chemical components such as amygdalin, linoleic acid, linalool, estrone, etc.
The bitter almond extract has the effect of calming qi, relieving cough, relieving asthma, moisturizing the intestines and relieving constipation. The appearance is trihydrate, which is a trapezoidal column-shaped crystal.
Bitter almonds are bitter and empty and breathe well. It has reliable antiasthmatic and antitussive effects. Sweet almonds tend to nourish lung qi and have a gentle effect. They can moisturize the intestine and relieve constipation better than bitter almonds. It is suitable for chronic cough due to lung weakness or constipation due to fluid damage. Bitter almonds have a bitter taste, a warm nature and a slight toxicity. It penetrates the lungs and colon and has the function of relieving cough, relieving asthma, moisturizing the intestine and relieving constipation. Sweet almonds are sweet, mild and non-toxic. They can moisten the lungs, strengthen the stomach, remove mucus and stop coughing.

|
Product name |
Almond Extract |
|
Extract source |
The bitter almond |
|
Extraction Solvent |
Water/Ethyl alcohol |
|
Appearance |
Off white powder |
|
Solubility |
Dissolve in water |
|
Identification |
TLC , HPLC |
|
Sulphated Ash |
NMT 0.5% |
|
Heavy metals |
NMT 20 PPM |
|
Loss On Drying |
NMT 5.0% |
|
Powder size |
80Mesh, NLT90% |
|
Assay of Amygdalin (HPLC test, percent, Standard in House) |
Min. 98.0% |
|
Microbiological Quality (Total viable aerobic count) |
|
|
- Bacteria, CFU/g, not more than |
NMT 103 |
|
- Moulds and yeasts, CFU/g, not more than |
NMT 102 |
|
- E.coli, Salmonella, S. aureus, CFU/g |
Absence |
|
Shelf life |
This product should be sealed and shading, avoid high temperature, store in a dry, cool, well-ventilated place, can be stored for 2 years |
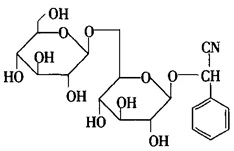
1.1 Properties: Amygdalin is a natural glycoside compound, and its trihydrate is an orthorhombic columnar crystal (water), solubility in water: 83G/L (25°C), melting point: 223-226°C Specific rotation: -38.5°(c =4,H2O)
1.2 Solubility: Solubility of amygdalin in water: 83G/L (25°C), 1g is soluble in 12ml of water, 900ml of ethanol and 11ml of boiling ethanol, easily soluble in boiling water, almost insoluble in ether. The pH value of its aqueous solution is nearly neutral.
2.Chemical composition
Bitter almonds contain amygdalin and amygdalin. Amygdalin is about 3% or more, and the oil content is 35% or more. 1. Amygdalin: synonym amygdalin, molecular formula C20H27NO11, molecular weight 457.42. Trihydrate is orthorhombic columnar crystal (water), mp.200°C; anhydrous mp.220°C, [α]D20-42°. 1g is soluble in 12mL water, 900mL ethanol and 11mL boiling ethanol, easily soluble in boiling water, almost insoluble in ether. 2. Amygdalase: soluble in water, insoluble in organic solvents. 3. Other ingredients: Prunase, Oleic acid and Linoleic acid, Palmitic acid, β-Ionone, Linalool, Hexanal (Nexanal), geraniol (Geraniol), etc.

Amygdalin
3.Extract plant source
Bitter almond is also known as apricot, bitter almond, apricot kernel, apricot kernel, almond and northern almond. The dried seeds are slightly flat and slightly cardioid, and the tip is gradually pointed, and the left and right sides are asymmetrical. The seed coat is reddish-brown or dark brown, with brown stripes scattered from base to top, and slight longitudinal folds on the surface; There is an unobtrusive microstyle at the top. There is a bright prismatic hilum on the ridge on the underside. The chalazal point is in the concave part of the floor. From the chalazal point to the hilum there is a darker vertical line, i.e. the seed crest. The seed layer is thin and contains two milky and plump cotyledons. It is rich in oil and there is often a gap in the middle of the joint surface. The radicle is at its apex. It is born on the solid sand dune in the mixed tree forest on the sunny slope at an altitude of 250~400 meters, and is produced in Beining, Fuxin, Jianping Lingyuan, Jinzhou and other cities and counties. Almonds are sweet and bitter. Cultivated almonds are sweeter, while wild almonds are generally bitter. From the perspective of the original plant, bitter almond is processed from Siberian apricot, Liaoning apricot and wild apricot, which is mainly produced in northeast China, often called northern almond or northern apricot for short; Sweet almond is processed from almonds, and its taste is sweet. To distinguish them from bitter almonds, they are also called southern apricots. Bitter Almond is a bitter Catherine, good at lowering qi and has reliable anti-asthmatic and anti-tussive effects. Sweet almonds tend to nourish and nourish lung qi and have a mild effect. Its function of moistening the intestines and relieving constipation is better than bitter almonds. It is suitable for chronic cough due to lack of lungs or constipation due to fluid injury. Bitter almond has bitter taste, warm nature, low toxicity, enters the lungs and large intestine, and has the functions of relieving cough, relieving asthma, moistening intestines and defecation. Sweet almonds taste sweet, flat in nature, and non-toxic. It can moisten the lungs and stomach, disperse phlegm and stop coughing.

4.Benefits and Applications
The main active ingredients of Almond Extract, which have many unique effects as below:
Effect on respiratory system: The extract of bitter almond has the function of relaxing bronchial smooth muscle, relieving spasm of bronchial smooth muscle, relieving cough, asthma and phlegm. Its main mechanism is that amygdalin decomposes slowly in the body to produce a trace of hydrocyanic acid, which has a sedative effect on the respiratory center and makes the respiratory movement quiet to achieve the antitussive and antiasthmatic effects; It may also be that the low concentration of hydrocyanic acid inhibits the oxidative metabolism of the carotid and aortic bodies, leading to the deepening of reflex respiration and the easy discharge of phlegm.
Analgesic effect: amygdalin has analgesic effect and has no tolerance
Antineoplastic effect
Effect on digestive system: benzaldehyde, the hydrolysate of amygdalin, can inhibit the digestive function of pepsin in vitro and in the body of healthy or ulcer patients, so it has anti ulcer effect. Almond fat oil plays a lubricating role in the intestine.
Insecticidal and bacteriostatic effects: bitter almond oil can kill roundworms, earthworms, pinworms, hookworms, etc. in vitro, and inhibit typhoid and paratyphoid bacillus. Clinical application also shows that it has effects on ascaris lumbricoides, pinworm and hookworm.

4.2 Application
It is used for coughing, asthma, chest tightness and phlegm. It can be used to treat cough, asthma and headache caused by nasal congestion. It is often used in combination with ephedra and licorice, such as San'ao decoction; If it is used to cure cough and asthma due to pathogenic heat, it should be used together with ephedra, licorice and gypsum, as in Maxing Shigan Decoction; It is difficult to treat dry and hot cough with less sputum. It is often used with mulberry leaves, fritillaria, and sea cucumber, as in mulberry apricot soup; If it is used to treat cough and asthma, it should be used with asarum, dried ginger and schisandra chinensis. This product can also be used for patients with spleen and lung qi deficiency and continuous cough. Chemicalbook is often used with Astragalus, Baibu and Fandonghua; If the lung yin is insufficient and the dry cough is less phlegm, it should be used with radix astragali, radix ophiopogonis and lily.
It is used for blood deficiency, fluid dryness and constipation. This product can be used for body fluid depletion, old people or postpartum blood deficiency caused by difficult defecation. It is often used with the same formula as Bai Ziren, Yu Liren and Peach Kernel, such as the five kernel pill. This product can also cure gastrointestinal dryness and fever, and dry stool. It should be used with hemp seed, rhubarb, and magnolia officinalis, as in the case of hemp seed pill. In addition, almonds can be used externally to treat pruritus of vulva, carbuncle, gangrene, toxin, etc.
5.Effects of Almond extract powder on the Skin
Almond extract usually has a proliferative effect on epidermal keratinocytes, promotes the production of ceramide, can inhibit the activity of tyrosinase in the skin, eliminate some potential spots, and can be used to brighten the complexion.
Almond is a good product for beauty, especially the whitening effect has been praised by many people. You can choose to take almonds for beauty or use almonds as a beauty mask. Almonds are divided into sweet almonds and bitter almonds, no matter what kind of almonds have a good effect on beauty.
Almonds have been recognized as a beauty product since ancient times. According to records, the reason why Concubine Yang Guifei can have the beauty of "looking back and smiling, Baimeisheng, Liugong Fendai colorless", is related to her use of red jade paste, and the main ingredient of red jade paste is almonds.
Almond, which has medical effects, is also regarded as an ancient beauty technique in modern scientific theory, and it is also a beauty technique that absorbs the essence of natural plants. It contains a large number of nutrients and vitamins, trace elements, linoleic acid and ingredients such as heat-clearing and detoxifying, anti-freckle and anti-wrinkle. When we are at a loss for rough skin, dull pigmentation and facial wrinkles, we often overlook the beauty benefits of almonds. In fact, regular use of it can effectively delay skin aging and make our skin shiny and elastic. It doesn't stop there, it very gently cleanses and exfoliates the skin.

6.Identify
(1) Take 0.5g of this product, put it in a test tube with a stopper, add 3ml of 5% sulfuric acid solution and shake well, put a filter paper strip moistened with sodium trinitrophenolate solution at the mouth of the test tube, tighten the stopper, and set the test tube at 40 Heating in a water bath at -50°C for 10 minutes, the filter paper strip turns from yellow to brick red. (check for cyanogenic glycosides)
(2) Thin-layer chromatography Take 0.5g of this product, add an equal amount of calcium carbonate to grind together, put it into a stoppered Erlenmeyer flask, add 4ml of petroleum ether (60-90°C), soak overnight, and filter. The residue was evaporated to dry petroleum ether, and 4ml of ethanol was added to cold-soak overnight, and filtered. The filtrate was concentrated for the test sample. Amygdalin was used as a control. Samples were spotted on the same silica gel G thin-layer plate, developed with chloroform-ethyl acetate-ethanol (2:1:2), and iodine vapor developed the color. In the chromatogram of the test product, spots of the same color appear on the corresponding position of the chromatogram of the reference product.
7.Extraction Method

8.Where can I buy Almond Extract?
Kintai's leading products are alkaloids and organic acids, including honeysuckle hydrobromide, aconitine, sanguinarine, chelerythrine, rosmarinic acid, chlorogenic acid, dihydromyricetin, mangiferin , birch brain, epimedium extract and more than 300 kinds of products.
Kintai has a complete quality certification system and quality control capabilities, and insists on controlling the quality of raw materials from the source to ensure the high quality, safety and effectiveness of plant raw materials.
If you are looking for Almond Extract, welcome to wholesale our high-quality products in bulk.
8.1 Why choose Kintai

8.2 Kintai-Factory

8.3 Kintai R&D center

8.4 Production Process

9.KINTAI is committed to being your best Almond Extract supplier.
★If you want to get high quality Almond extract powder , please feel free to contact us at cheney@kintaibio.com or feedback in next page.
Hot Tags: almond extract powder, China almond extract powder manufacturers, suppliers, factory, Hedyotis Diffusa Extract Powder, Organic Grape Seed Extract Powder, Watercress Extract Powder, Epimedium Extract Powder, Guarana Seed Extract Powder, Ruscus Aculeatus Extract








